ABC is an isosceles triangle right angled at C with AC = 4 cm
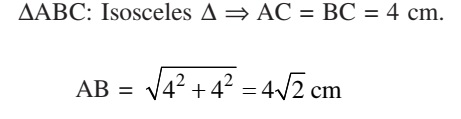
Triangles (10)ABC is an isosceles triangle right angled at C with AC = 4 cm. Find the length of AB.

Answer

- Exam Year: 2019
ABC is an isosceles triangle right angled at C with AC = 4 cm. Find the length of AB.

