DE II BC. Find the length of side AD, given that AE = 1.8 cm
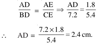
Triangles (10)DE II BC. Find the length of side AD, given that AE = 1.8 cm, BD = 7.2 cm and CE = 5.4 cm.

Answer

- Exam Year: 2019
DE II BC. Find the length of side AD, given that AE = 1.8 cm, BD = 7.2 cm and CE = 5.4 cm.

