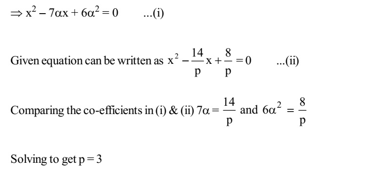
Find the value of p, for which one root of the quadratic equation $px^2 - 14x + 8 = 0$ is 6 times the other
Quadratic Equations (10)Find the value of p, for which one root of the quadratic equation $px^2 - 14x + 8 = 0$ is 6 times the other.
Answer
Let the roots of the given equation be α and 6α.
Thus the quadratic equation is (x - α)(x - 6α) = 0

- Exam Year: 2017