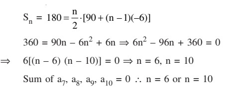
How many terms of the Arithmetic Progression 45, 39, 33, ... must be taken so that their sum is 180
Arithmetic Progressions (10)How many terms of the Arithmetic Progression 45, 39, 33, ... must be taken so that their sum is 180? Explain the double answer.
Answer

- Exam Year: 2019