CBSE Questions
  • Home
  • Class 10
Home Class 10Class 10 HistoryClass 10 GeographyClass 10 CivicsClass 10 EconomicsClass 10 ScienceClass 10 MathsClass 10 English

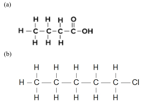
Draw the structure of the following compounds

Carbon Compounds (10)

Draw the structure of the following compounds:

  1. Butanoic acid
  2. Chloropentane

Answer

  • Exam Year: 2023
Prev
Next
  1. Home
  2. Class 10
  3. Class 10 Science
  4. Draw the structure of the following compounds
Recent Updates
  • Describe the great economic hardship that prevailed in Europe during the 1930s
  • A student fixes a sheet of white paper on a drawing board using some adhesive materials
  • List two advantages of adopting the atomic number of an element as the basis of classification
  • The process of reproduction observed in yeast
  • Calculate the median salary of the data
  • The plants were wilting in a garden and the gardener watered the plants
  • A student took a small amount of copper oxide in a conical flask
  • Assertion (A): If one root of the quadratic equation $4x^2 − 10x + (k − 4) = 0$
Class 10
  • History
  • Geography
  • Civics
  • Economics
  • Science
  • Maths
  • English
Topics
  • Class 10 Maths Topics
  • Class 10 History Topics
  • Class 10 Civics Topics
  • Class 10 Geography Topics
  • Class 10 Economics Topics
  • Class 10 Science Topics
  • Class 10 English Topics
Resources
  • CBSE Website
  • CBSE Academic